Sanakirja
Tekoälykääntäjä
Kuvat 7

Käännöksiä ei löytynyt valitulle kohdekielelle.

Tarkoititko nonsense?

Määritelmät

Substantiivi

  1. (biology) A damaged DNA sequence that is meaningful but has an incorrect meaning, with the result that its products do not do what they are supposed to do.

Verbi

  1. To sense incorrectly.

Taivutusmuodot

Monikkomissenses

(biology) A damaged DNA sequence that is meaningful but has an incorrect meaning, with the result that its products do not do what they are supposed to do.

This image shows an example of missense mutation. One of the nucleotides (adenine) is replaced by another nucleotide (cytosine) in the DNA sequence. This results in an incorrect amino acid (proline) being incorporated into the protein sequence.

(biology) A damaged DNA sequence that is meaningful but has an incorrect meaning, with the result that its products do not do what they are supposed to do.

Point mutation categories. Missense mutations are a type of nonsynonymous point mutation.

(biology) A damaged DNA sequence that is meaningful but has an incorrect meaning, with the result that its products do not do what they are supposed to do.

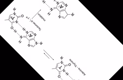
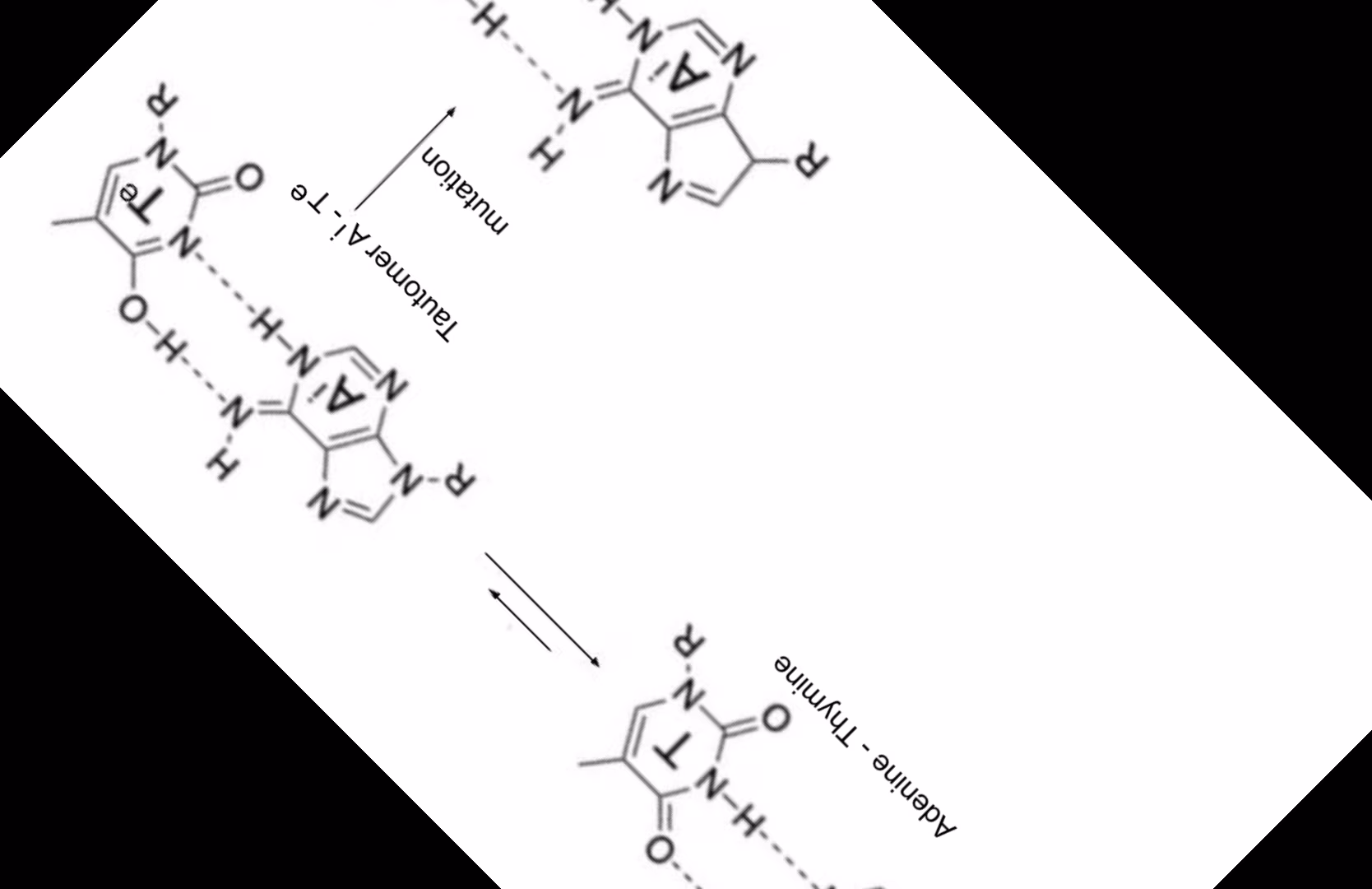
Spontaneous tautomerization of adenine, resulting in adenine mispairing with cytosine, rather than thymine, after replication. Future replications would lead to cytosine pairing with guanine, instead of an adenine-thymine pair in that location, resulting in a missense mutation.