Sanakirja
Tekoälykääntäjä
Kuvat 5

Ääntäminen

  • ÄäntäminenSouthern England
  • RP:
    • IPA: /ˈɒk.siːm/
  • GA:
    • IPA: /ˈɑkˌsiːm/

Käännöksiä ei löytynyt valitulle kohdekielelle.

Määritelmät

Substantiivi

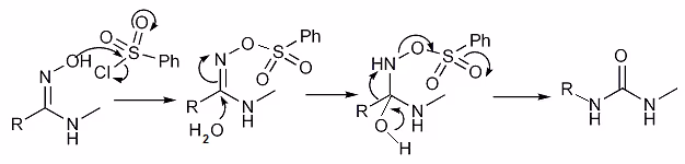
  1. (organic chemistry) Any of a class of organic compounds, of general formula RR'C=NOH, derived from the condensation of an aldehyde (R' = H) or ketone with hydroxylamine.

Taivutusmuodot

Monikkooximes

(organic chemistry) Any of a class of organic compounds, of general formula RR'C=NOH, derived from the condensation of an aldehyde (R' = H) or ketone with hydroxylamine.

General structure of oximes.

(organic chemistry) Any of a class of organic compounds, of general formula RR'C=NOH, derived from the condensation of an aldehyde (R' = H) or ketone with hydroxylamine.

Ponzio reaction

(organic chemistry) Any of a class of organic compounds, of general formula RR'C=NOH, derived from the condensation of an aldehyde (R' = H) or ketone with hydroxylamine.

Tiemann rearragement